当前位置:首页 > 高等数学(工专)(00022) > 正文内容

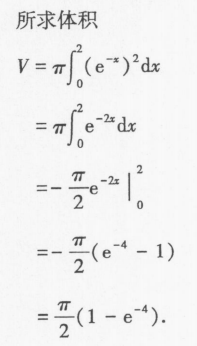
求由曲线y=e-x与两坐标轴及直线x=2所围成的平面图形绕x轴旋转一周而成的旋转体的体积

高老师2年前 (2024-03-27)高等数学(工专)(00022)13

求由曲线y=e-x与两坐标轴及直线x=2所围成的平面图形绕x轴旋转一周而成的旋转体的体积

扫描二维码免费使用微信小程序搜题/刷题/查看解析。

版权声明:本文由翰林刷题小程序授权发布,如需转载请注明出处。

本文链接:https://doc.20230611.cn/post/946215.html

分享给朋友: