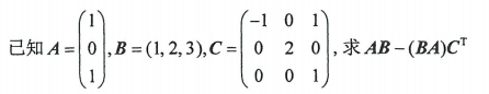
当前位置:首页 > 英语语法(00831) > 正文内容

Using discontinuity: The assumption that the economy will continue to improve is made.

高老师2年前 (2024-03-27)英语语法(00831)7

Using discontinuity: The assumption that the economy will continue to improve is made.

The assumption is made that the economy will continue to improve.

扫描二维码免费使用微信小程序搜题/刷题/查看解析。

版权声明:本文由翰林刷题小程序授权发布,如需转载请注明出处。

本文链接:https://doc.20230611.cn/post/916798.html

分享给朋友: