请从理论上分析企业人工成本总额的变动。
企业人工成本总额的变动可以从绝对数的变化和人工成本总额的变动指数两个角度来统计分析:
(1)人工成本总额绝对数的增减变化
人工成本总额增减变动额=报告期人工成本总额-基期人工成本总额
人工成本总额增减率=(报告期人工成本总额/基期人工成本总额-1)×100%
(2)人工成本总额变动指数
企业人工成本总额变动受到平均人工成本和职工人数两个因素的影响,因此这三者的变动分析可以编制人工成本总额指数体系的方式来实现,并采用差额分析法进一步说明。
人工成本总额=平均人工成本×职工人数
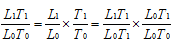
人工成本总额指数=平均人工成本指数×职工人数指数
即,人工成本总额指数=
式中,
分别表示报告期和基期的平均人工成本;
分别表示报告期、基期职工的平均人数。
人工成本总额增减变动额的进一步分析:
人工成本总额增减变动额=报告期人工成本总额-基期人工成本总额
人工成本总额增减变动额=
其中,
为平均人工×成本变动对人工成本总额变动的影响程度;
为企业职工人数的变动对人工成本总额变动的影响程度。
扫描二维码免费使用微信小程序搜题/刷题/查看解析。
版权声明:本文由翰林刷题小程序授权发布,如需转载请注明出处。