论述简单总体总量指标多因素分析原理。
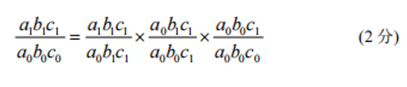
简单总体的指标可分解为两个因素的乘积,其中一个为质量指标,另一个为数量指标。如果简单总体的某个指标可分解为多个因素的乘积,其基本原理与两因素的情形相同,同样是质量指标作同度量因素固定在基期,数量指标作同度量因素固定在报告期。所不同的是对这多个因素的排序有严格的要求,以三因素为例,不妨记这三个因素为a、b、c。三个指标的排序规则是:a相对于b和c为质量指标;b相对于a为数量指标但相对于c为质量指标;c相对于a和b均为数量指标。则对此总量指标进行因素分析的指数体系可分为:
相对数等式为:
绝对数等式为:
A1b1c1-a0b0c0=(a1b1c1-a0b1c1)+(a0b1c1-a0b0c1)+(a0b0c1-a0b0c0)
扫描二维码免费使用微信小程序搜题/刷题/查看解析。
版权声明:本文由翰林刷题小程序授权发布,如需转载请注明出处。