- 线性代数(02198) - 专业知识收录平台"> - 线性代数(02198) - 专业知识收录平台">
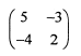
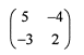
A.
B.
C.
D.
正确答案是B
扫描二维码免费使用微信小程序搜题/刷题/查看解析。
版权声明:本文由翰林刷题小程序授权发布,如需转载请注明出处。
本文链接:https://doc.20230611.cn/post/738946.html
上一篇:行情研究所需要的资料来源于()
下一篇:国务院证券监督管理委员会对A证券公司违反证券法损害客户利益的行为进行了调查,认定有以下事实:(1)A证券公司总部负责人指示客户经理诱导多名客户频繁进行了不必要的股票买入及卖出,一年内多收取佣金近百万;(2)借用多人身份证件进行股票自营业务;(3)在客户B企业未授权的情况下代其买卖股票。基于上述欺诈事实,证监会依法对A证券公司总部负责人给予了警告处分,撒销其相关从业人员的证券从业资格,并责令A公司改正,没收违法所得,并处以违法所得一倍以上十倍以下的罚款。问:(1)何为欺诈客户?