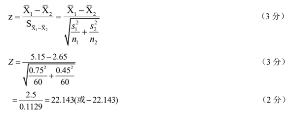
参考公式:
为评估低氧环境对运动者心肌血流量的影响,将120名男性志愿者随机等分为正常氧环境组60名和低氧环境组60名,测定运动后心肌血流量(mL/min ·g)结果为:正常氧环境组
高老师2年前 (2024-03-27)实用卫生统计学(05755)14
参考公式:
为评估低氧环境对运动者心肌血流量的影响,将120名男性志愿者随机等分为正常氧环境组60名和低氧环境组60名,测定运动后心肌血流量(mL/min ·g)结果为:正常氧环境组
2. 65±0. 45;低氧环境组
5. 15±0. 75。分析两种氧环境运动者的心肌血流量之间有无差别?(注:资料呈正态分布且满足方差齐性)
(1)建立假设检验,确定检验水准
H0:μ1=μ2,或两种氧环境运动者的心肌血流量相同;
H1:μ1≠μ2 ,或两种氧环境运动者的心肌血流量不同;
双侧检验,检验水准α=0.05。
(2)计算检验统计量
两样本含量均超过 50,故采用完全随机设计的两样本 Z 检验。
【评分说明】计算结果近似即可。
(3)确定 P 值,做出推断结论
因 Z0.05/2=1.96,本例|Z|=22.143,所以 P0,接受 H1,可认为两种氧环境运动者的心肌血流量不同。
扫描二维码免费使用微信小程序搜题/刷题/查看解析。
版权声明:本文由翰林刷题小程序授权发布,如需转载请注明出处。