参考公式:
为比较治疗组和对照组的肺表面活性物质PaO2在治疗新生儿呼吸窘迫综合征患儿过程中的作用是否不同,某医生在治疗20名患儿后48小时得到如题38表资料,请分析治疗后48小时,两组的PaO2是否不同。(假设资料服从正 态 性和方差齐性)
高老师2年前 (2024-03-27)实用卫生统计学(05755)14
参考公式:
为比较治疗组和对照组的肺表面活性物质PaO2在治疗新生儿呼吸窘迫综合征患儿过程中的作用是否不同,某医生在治疗20名患儿后48小时得到如题38表资料,请分析治疗后48小时,两组的PaO2是否不同。(假设资料服从正 态 性和方差齐性)
(1)建立假设检验,确定检验水准
H0:µ1=µ2 (或治疗组和对照组两总 体肺表面活性物质 PaO2 相同);
H1:µ1≠µ2 (或治疗组和对照组两总 体肺表面活性物质 PaO2 不同);
双侧检验,检验水准 α=0. 05。
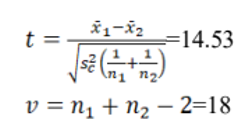
(2)计算检验统计量
两样本均为小样本,故采用完全随机设计的两样本 t 检验。
【评分说明】①公式 3 分,代入数据 3 分,结果 2 分,共 8 分。
②因计算过程存在着有效位数的保留问题,计算结果近似即可。
(3)确定 P 值,做出推断结论
因 t0. 05,18=2. 101,本例 t=14. 53,所以 P0,接受 H1,认为两组的 PaO2不同。
扫描二维码免费使用微信小程序搜题/刷题/查看解析。
版权声明:本文由翰林刷题小程序授权发布,如需转载请注明出处。