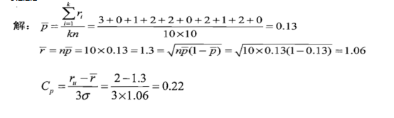
某项目需要加工一批零件。在加工过程中,为了掌握零件加工工序的质 量保证能力,每隔2天抽取容量为10的样本,共抽取了 10个样本,检查零件 质量是否合格,其中不合格品数分别为3, 0, 1, 2, 2, 0, 2,1, 2, 0,允许不合格品数为2,求工序能力指数。
某项目需要加工一批零件。在加工过程中,为了掌握零件加工工序的质 量保证能力,每隔2天抽取容量为10的样本,共抽取了 10个样本,检查零件 质量是否合格,其中不合格品数分别为3, 0, 1, 2, 2, 0, 2,1, 2, 0,允许不合格品数为2,求工序能力指数。

扫描二维码免费使用微信小程序搜题/刷题/查看解析。
版权声明:本文由翰林刷题小程序授权发布,如需转载请注明出处。