当前位置:首页 > 项目质量管理(05062) > 正文内容

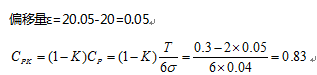
某项目的质量指标要求为:上限为20.15,下限为19.85,抽取样本100件,测得样本标准差为0.04,均值为20.05,求工序能力指数,并判断工序状况。

高老师2年前 (2024-03-26)项目质量管理(05062)8

某项目的质量指标要求为:上限为20.15,下限为19.85,抽取样本100件,测得样本标准差为0.04,均值为20.05,求工序能力指数,并判断工序状况。


工序能力不足,属于三级。

扫描二维码免费使用微信小程序搜题/刷题/查看解析。

版权声明:本文由翰林刷题小程序授权发布,如需转载请注明出处。

本文链接:https://doc.20230611.cn/post/666350.html

分享给朋友: