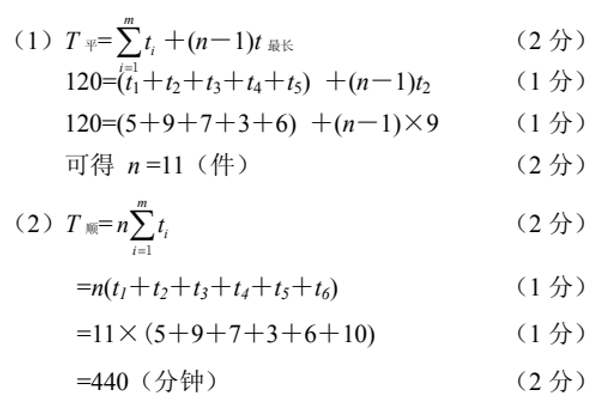
一批电脑零件需经5道工序加工,各道工序的单件加工时间分别为:t1=5分钟,t 2=9分钟,t3=7分钟,t44=3分钟,t5=6分钟。
要求:(1)计算平行移动方式下生产周期为120分钟时的零件批量n;
(2)工艺改进增加一道工序(t6),单件加工时间为10分钟,计算顺序移动方式下,增加工序后该批零件的生产周期:
(3)指出平行移动方式的缺点。
(注:要求有计算过程并列出公式)

(3)一些工序在加工时,出现设备时干时停现象,对设备运转不利,同时运输次数多,组织生产比较麻烦。
扫描二维码免费使用微信小程序搜题/刷题/查看解析。
版权声明:本文由翰林刷题小程序授权发布,如需转载请注明出处。