当前位置:首页 > 高等数学(工本)(00023) > 正文内容

下列微分方程中,可分离变量的微分方程是

高老师2年前 (2024-03-26)高等数学(工本)(00023)12

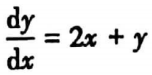
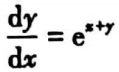
下列微分方程中,可分离变量的微分方程是

A.

B.

C.

D.

正确答案是A

扫描二维码免费使用微信小程序搜题/刷题/查看解析。

版权声明:本文由翰林刷题小程序授权发布,如需转载请注明出处。

本文链接:https://doc.20230611.cn/post/426895.html

分享给朋友: