当前位置:首页 > 高等数学(工本)(00023) > 正文内容

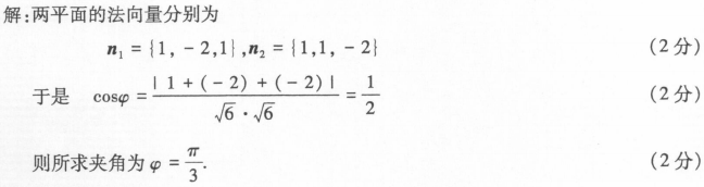
求两平面x-2y+z=0和x+y-2z-9=0的夹角φ.

高老师2年前 (2024-03-26)高等数学(工本)(00023)18

求两平面x-2y+z=0和x+y-2z-9=0的夹角φ.

扫描二维码免费使用微信小程序搜题/刷题/查看解析。

版权声明:本文由翰林刷题小程序授权发布,如需转载请注明出处。

本文链接:https://doc.20230611.cn/post/426886.html

分享给朋友: