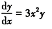
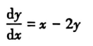
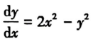
下列微分方程中,可分离变量的微分方程是
A.
B.
C.
D.
正确答案是B
扫描二维码免费使用微信小程序搜题/刷题/查看解析。
版权声明:本文由翰林刷题小程序授权发布,如需转载请注明出处。
本文链接:https://doc.20230611.cn/post/426873.html
上一篇:(14年10月;13年10月、4月;10年10月真题)不同时代有不同时代的任务,这一任务反映到爱国主义的内容上,就是特定时代条件下爱国主义的主题。在新的历史时期,我国人民爱国主义的主题是()
下一篇:行为主义流派中的()技术和技术特别适用于原发性高血压。