设,求,求 ,求
设,求 高老师2年前 (2024-03-26)线性代数(经管类)(04184)8
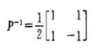
设,求
于是
扫描二维码免费使用微信小程序搜题/刷题/查看解析。
版权声明:本文由翰林刷题小程序授权发布,如需转载请注明出处。
本文链接:https://doc.20230611.cn/post/274789.html
上一篇:价值形式发展过程中,发生质变的阶段是
下一篇:我国自( )起实施积极的财政政策,主要以增发国债和扩大政府投资为手段,以刺激需求、促进经济增长为主要目标的一种扩张性财政政策。