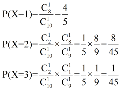
设有10件产品,其中8件正品,2件次品,每次从这批产品中任取1件,取出的产品不放回,设X为直至取得正品为止所需抽取的次数,求X的分布律.

高老师2年前 (2024-03-26)概率论与数理统计(经管类)(04183)12

设有10件产品,其中8件正品,2件次品,每次从这批产品中任取1件,取出的产品不放回,设X为直至取得正品为止所需抽取的次数,求X的分布律.



扫描二维码免费使用微信小程序搜题/刷题/查看解析。

版权声明:本文由翰林刷题小程序授权发布,如需转载请注明出处。

本文链接:https://doc.20230611.cn/post/271273.html

分享给朋友: