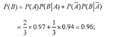
求任取一个零件是合格品的概率
扫描二维码免费使用微信小程序搜题/刷题/查看解析。
版权声明:本文由翰林刷题小程序授权发布,如需转载请注明出处。
本文链接:https://doc.20230611.cn/post/271258.html
上一篇:我国公司法对公司国籍的确定采取的是( )
我国公司法对公司国籍的确定采取的是( )
下一篇:在实施全球营销战略中,最容易在全球进行“价值增值活动配置”的国际服务类型是( )