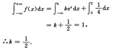
求系数k的值
扫描二维码免费使用微信小程序搜题/刷题/查看解析。
版权声明:本文由翰林刷题小程序授权发布,如需转载请注明出处。
本文链接:https://doc.20230611.cn/post/270729.html
上一篇:两点的坐标为(20,30,10)、(20,30,50),该两点在________投影面上重影。
下一篇:碗扣式脚手架杆件,作为脚手架垂直承力杆的是()。