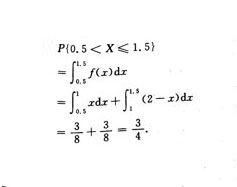
求P{0.5<X≤1.5}
扫描二维码免费使用微信小程序搜题/刷题/查看解析。
版权声明:本文由翰林刷题小程序授权发布,如需转载请注明出处。
本文链接:https://doc.20230611.cn/post/270707.html
上一篇:涉外犯罪是指具有()的犯罪行为。
下一篇:人民法院在收到管理人的报告和终结破产程序申请后,认为符合破产程序终结规定的,应当在____日内裁定终结破产程序