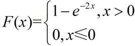
X~E(2),则X的分布函数为________________.

高老师2年前 (2024-03-26)概率论与数理统计(经管类)(04183)15

X~E(2),则X的分布函数为________________.


扫描二维码免费使用微信小程序搜题/刷题/查看解析。

版权声明:本文由翰林刷题小程序授权发布,如需转载请注明出处。

本文链接:https://doc.20230611.cn/post/270629.html

分享给朋友: