求: (X,Y)关于X和关于Y的边缘分布律; - 概率论与数理统计(经管类)(04183) - 专业知识收录平台"> 求: (X,Y)关于X和关于Y的边缘分布律; - 概率论与数理统计(经管类)(04183) - 专业知识收录平台">

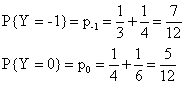
求: (X,Y)关于X和关于Y的边缘分布律;

高老师2年前 (2024-03-26)概率论与数理统计(经管类)(04183)9

求: (X,Y)关于X和关于Y的边缘分布律;



扫描二维码免费使用微信小程序搜题/刷题/查看解析。

版权声明:本文由翰林刷题小程序授权发布,如需转载请注明出处。

本文链接:https://doc.20230611.cn/post/270503.html

分享给朋友: