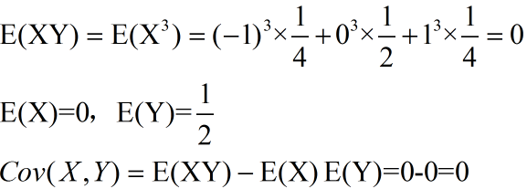
Cov( X,Y )
扫描二维码免费使用微信小程序搜题/刷题/查看解析。
版权声明:本文由翰林刷题小程序授权发布,如需转载请注明出处。
本文链接:https://doc.20230611.cn/post/270250.html
上一篇:VitaminsFood contains only small quantities of vitamins, but they are vital for good health. For example, if you eat a diet of meat, bread, sugar and fat, you may become ill with a disease called scurvy (坏血病). This is caused by a deficiency (缺乏) in v
下一篇:《壹周刊》