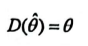
为θ的无偏估计,则必有
- 概率论与数理统计(经管类)(04183) - 专业知识收录平台"> 为θ的无偏估计,则必有 - 概率论与数理统计(经管类)(04183) - 专业知识收录平台">设x1, x2,,…xn是来自总体X的样本,θ是X的分布中的未知参数,若
为θ的无偏估计,则必有
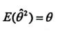
设x1, x2,,…xn是来自总体X的样本,θ是X的分布中的未知参数,若
为θ的无偏估计,则必有
A.
B.
C.
D.
正确答案是A
扫描二维码免费使用微信小程序搜题/刷题/查看解析。
版权声明:本文由翰林刷题小程序授权发布,如需转载请注明出处。