景观美育
答:景观美育是利用人类生活环境的美化来对人自身进行审美教育
扫描二维码免费使用微信小程序搜题/刷题/查看解析。
版权声明:本文由翰林刷题小程序授权发布,如需转载请注明出处。
本文链接:https://doc.20230611.cn/post/160159.html
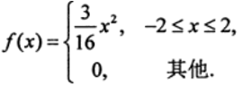
上一篇:设随机变量X的概率密度为求:(1)E(X),D(X);(2)P{X-E(X)|
设随机变量X的概率密度为求:(1)E(X),D(X);(2)P{X-E(X)|
下一篇:下列不属于调查法的种类的有( )
下列不属于调查法的种类的有( )