K值
系指ATP分解的低级产物肌苷(HXR)和次黄嘌呤(HX)占ATP系列分解产物(ATP+ADP+AMP+IMP+HXR+HX)的百分比。
扫描二维码免费使用微信小程序搜题/刷题/查看解析。
版权声明:本文由翰林刷题小程序授权发布,如需转载请注明出处。
本文链接:https://doc.20230611.cn/post/1034361.html
上一篇:简述学前儿童音乐欣赏活动的内容。
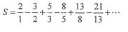
下一篇:请编写方法double sumS(int n),该方法计算以下表达式前n项的和S,并返回。 注:后一项的分母=前一项的分子,后一项的分子=前一项的分母的和。这里给出了方法中必要的变量说明,要求你补充其他的相关代码。 dou
请编写方法double sumS(int n),该方法计算以下表达式前n项的和S,并返回。 注:后一项的分母=前一项的分子,后一项的分子=前一项的分母的和。这里给出了方法中必要的变量说明,要求你补充其他的相关代码。 dou