该病人的医疗诊断是什么?
(P266~268)(1)开放性气胸。本题3修改分
扫描二维码免费使用微信小程序搜题/刷题/查看解析。
版权声明:本文由翰林刷题小程序授权发布,如需转载请注明出处。
本文链接:https://doc.20230611.cn/post/992701.html
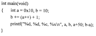
上一篇:已知‘A’的ASCII码值为65, 程序运行结果为:
已知‘A’的ASCII码值为65, 程序运行结果为:
下一篇:姜夔《扬州慢》(淮左名都)中的"纵豆蔻词工,青楼梦好,难赋深情"是化用了______的诗句。