“可供出售金融资产”借方的期末余额,反映企业可供出售金融资产的公允价值。
A.正确
B.错误
正确答案是B
扫描二维码免费使用微信小程序搜题/刷题/查看解析。
版权声明:本文由翰林刷题小程序授权发布,如需转载请注明出处。
本文链接:https://doc.20230611.cn/post/926195.html
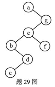
上一篇:设有二叉排序树如题29图所示。请回答下列问题。 (1)假定二叉排序树初始为空,写出一个数据输入序列,按序插入时能得到题29图所示的二叉排序树。 (2)能得到题29图所示的二叉排序树的不同的输入数据序列有几个?
设有二叉排序树如题29图所示。请回答下列问题。 (1)假定二叉排序树初始为空,写出一个数据输入序列,按序插入时能得到题29图所示的二叉排序树。 (2)能得到题29图所示的二叉排序树的不同的输入数据序列有几个?
下一篇:メガネを()ている人はだけですか