当前位置:首页 > 数量方法(00799) > 正文内容

从一个方差未知的总体中随机抽取一个容量n=100的样本,则总体均值μ在1-α置信水平下的置信区间为

高老师2年前 (2024-03-27)数量方法(00799)17

从一个方差未知的总体中随机抽取一个容量n=100的样本,则总体均值μ在1-α置信水平下的置信区间为

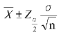
A.

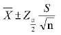
B.

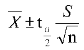
C.

D.

正确答案是B

扫描二维码免费使用微信小程序搜题/刷题/查看解析。

版权声明:本文由翰林刷题小程序授权发布,如需转载请注明出处。

本文链接:https://doc.20230611.cn/post/923191.html

分享给朋友: