如图所示工件的定位方式,已知工件直径
mm,
mm,
高老师2年前 (2024-03-27)机械制造装备设计(02209)12
如图所示工件的定位方式,已知工件直径
mm,
mm,
mm,α=45°,试计算、分析此定位方案能否满足加工尺寸A的精度要求。若不能,应怎样改进,画图示意改进方法。

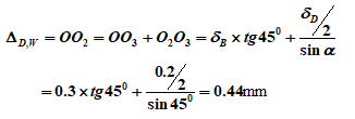
1. 误差分析及计算 此定位方式属多基准定位。直接求出定位过程中一批工件工序基准在工序尺寸A方向上的最大位置变动量,即为尺寸A的定位误差 △D.W。见图,当工件直径D和B均为最小值时,工序基准处于最低位置O1,当工件D和B均为最大时,工序基准处于最高位置O2,定位误差△D.W为O-1O2在工序尺寸方向的投影OO2。则:

2. 判断 由于δA =0.25mm,△D.W >δA,所以不能满足尺寸A的加工要求。
3. 提改进方法 画图示意。
扫描二维码免费使用微信小程序搜题/刷题/查看解析。
版权声明:本文由翰林刷题小程序授权发布,如需转载请注明出处。