专业知识收录平台专业知识收录平台
  • 首页
  • 关于
当前位置:首页 > 药物化学(二)(01759) > 正文内容

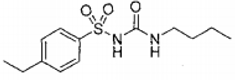
口服降糖药物甲苯磺丁脲的结构式为

高老师2年前 (2024-03-27)药物化学(二)(01759)11

口服降糖药物甲苯磺丁脲的结构式为

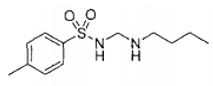
A.

B.

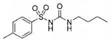
C.

D.

正确答案是B

扫描二维码免费使用微信小程序搜题/刷题/查看解析。

版权声明:本文由翰林刷题小程序授权发布,如需转载请注明出处。

本文链接:https://doc.20230611.cn/post/749109.html

分享给朋友:
微博 QQ 微信 豆瓣 QQ空间 领英
返回列表

上一篇:简述马斯洛的需要层次论的基本内容。

下一篇:用现代标点符号标点下面的文言短文 有 献 不 死 之 藥 於 荊 王 者 講 者 操 之 以 入  中 射 之 士 問 曰 可 食 乎  曰  可  因 奪 而 食 之  王 大 怒  使 人 設 中 射  之 士 中 射 之 士 使 人 說 王 曰 臣 問 調 者 曰 可 食  臣 故 食 之 是 臣 無 罪  而 罪 在 調 者 也  且 客 獻 不 死 之 藥  臣 食 之 而 王 殺 臣  是 死 藥 也  是 客 欺 王 也  夫 殺 無 罪 之 臣 而 明 人 之 欺 王 也  不

友情链接
  • 南离文苑

© 2023 个人记事本 - https://20230611.cn . All rights reserved 粤ICP备20061021号-2