当前位置:首页 > 物理化学(二)(02051) > 正文内容

在α、β两项中都含有A和B两种物质,当达相平衡时,下列哪种情况正确

高老师2年前 (2024-03-27)物理化学(二)(02051)15

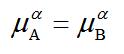
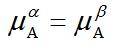
在α、β两项中都含有A和B两种物质,当达相平衡时,下列哪种情况正确

A.

B.

C.

D.

正确答案是B

扫描二维码免费使用微信小程序搜题/刷题/查看解析。

版权声明:本文由翰林刷题小程序授权发布,如需转载请注明出处。

本文链接:https://doc.20230611.cn/post/748135.html

分享给朋友: