当前位置:首页 > 建筑经济与企业管理(02447) > 正文内容

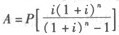
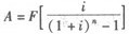
资金还原公式可表示为 ( )

高老师2年前 (2024-03-27)建筑经济与企业管理(02447)16

资金还原公式可表示为 ( )

A.

B.

C.

D.

正确答案是C

扫描二维码免费使用微信小程序搜题/刷题/查看解析。

版权声明:本文由翰林刷题小程序授权发布,如需转载请注明出处。

本文链接:https://doc.20230611.cn/post/743668.html

分享给朋友: