- 工程地质及土力学(02404) - 专业知识收录平台">
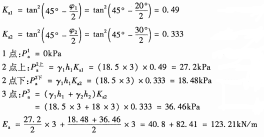
- 工程地质及土力学(02404) - 专业知识收录平台">已知一挡土墙高6m,墙背垂直光滑,填土面水平,填土分两层,各层物理力学指标见图所示,计算挡土墙上各分层面上的主动土压力和合力的大小。(不求合力作用点的位置)
已知一挡土墙高6m,墙背垂直光滑,填土面水平,填土分两层,各层物理力学指标见图所示,计算挡土墙上各分层面上的主动土压力和合力的大小。(不求合力作用点的位置)

扫描二维码免费使用微信小程序搜题/刷题/查看解析。
版权声明:本文由翰林刷题小程序授权发布,如需转载请注明出处。