- 物理(工)(00420) - 专业知识收录平台">
- 物理(工)(00420) - 专业知识收录平台">在真空中有如图所示的通有恒定电流的导线,其中半圆部分的半径为R,导线中的电流强度为I,则圆心O处的磁感应强度大小为
在真空中有如图所示的通有恒定电流的导线,其中半圆部分的半径为R,导线中的电流强度为I,则圆心O处的磁感应强度大小为
A.
B.
C.
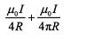
D.
正确答案是B
扫描二维码免费使用微信小程序搜题/刷题/查看解析。
版权声明:本文由翰林刷题小程序授权发布,如需转载请注明出处。