电子的动能为Ek时,其德布罗意波长为λ.当该电子的动能增大为4Ek时,电子的德布罗意波长为(不考虑相对论效应)
A.λ/8
B.λ/4
C.λ/2
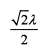
D.
正确答案是C
扫描二维码免费使用微信小程序搜题/刷题/查看解析。
版权声明:本文由翰林刷题小程序授权发布,如需转载请注明出处。
本文链接:https://doc.20230611.cn/post/742656.html
上一篇:2015年1月1日,甲公司为规避所持有存货D的公允价值变动风险,与某金融机构签订一项衍生金融工具合同(即衍生金融工具A),并将其指定为2015年上半年存货D价格变化引起的公允价值变动风险的套期。衍生金融工具A的标的资产与被套期项目存货在数量、质量、价格变动和产地方面相同。2015年1月1日,衍生金融工具A的公允价值为0,被套期项目(存货D)的账面价值为60 000元(其中成本为70 Ooo元,跌价准备10 000元),公允价值为80 000元。2015年6月30日,衍生金融工具A的公允价值上涨了
下一篇:公共政策学的创立者是( )