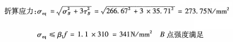
(计算结果保留2位小数)

- 钢结构(02442) - 专业知识收录平台">
(计算结果保留2位小数)

- 钢结构(02442) - 专业知识收录平台">
当前位置:首页 > 钢结构(02442) > 正文内容


(计算结果保留2位小数)

高老师2年前 (2024-03-27)钢结构(02442)13


(计算结果保留2位小数)


扫描二维码免费使用微信小程序搜题/刷题/查看解析。

版权声明:本文由翰林刷题小程序授权发布,如需转载请注明出处。

本文链接:https://doc.20230611.cn/post/741353.html

分享给朋友: