当前位置:首页 > 钢结构(02442) > 正文内容

格构式压弯构件缀材剪力设计值应取

高老师2年前 (2024-03-27)钢结构(02442)11

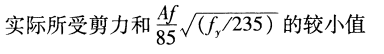
格构式压弯构件缀材剪力设计值应取

A.实际所受剪力

B.

C.

D.

正确答案是C

扫描二维码免费使用微信小程序搜题/刷题/查看解析。

版权声明:本文由翰林刷题小程序授权发布,如需转载请注明出处。

本文链接:https://doc.20230611.cn/post/741326.html

分享给朋友: