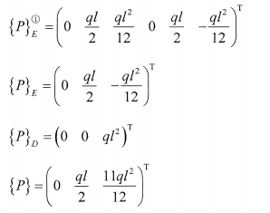
计算图示结构的综合结点荷载矩阵。
- 结构力学(二)(02439) - 专业知识收录平台">
扫描二维码免费使用微信小程序搜题/刷题/查看解析。
版权声明:本文由翰林刷题小程序授权发布,如需转载请注明出处。
本文链接:https://doc.20230611.cn/post/740374.html
上一篇:某超市连锁店,成立于20世纪90年代初期。该超市连锁店采用统一采购,统一核算,统一配送的低成本经营方式.该超市连锁店发展至今已经拥有十几家连锁店和一家配送中心。我们研究的对象是该超市连锁店的一个分店,其规模属于中型超市。它占地面积约六百多平方米,拥有管理人员及职员一百人左右。主要提供日用百货、烟酒食品、各种肉类、蔬菜、水果等商品,品种上千种。因其经营规模的扩大,业务的扩张,该超市考虑到原有的管理系统已经不能完全适应超市管理的需要,必须要改善原有系统的一些功能,所以超市的管理人员决定引进更先进的管
下一篇:根据反对强迫自证其罪原则,对于警察的讯问,犯罪嫌疑人无权