当前位置:首页 > 高等数学(一)(00020) > 正文内容

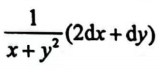
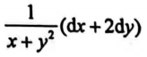
函数z= ln(x+y2)的全微分dz =

高老师2年前 (2024-03-25)高等数学(一)(00020)10

函数z= ln(x+y2)的全微分dz =

A.

B.

C.

D.

正确答案是A

扫描二维码免费使用微信小程序搜题/刷题/查看解析。

版权声明:本文由翰林刷题小程序授权发布,如需转载请注明出处。

本文链接:https://doc.20230611.cn/post/53327.html

分享给朋友: