当前位置:首页 > 高等数学(一)(00020) > 正文内容

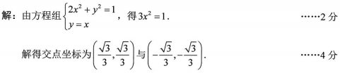
求椭圆2x2+y2=1与直线y=x的交点坐标.

高老师2年前 (2024-09-24)高等数学(一)(00020)10

求椭圆2x2+y2=1与直线y=x的交点坐标.

扫描二维码免费使用微信小程序搜题/刷题/查看解析。

版权声明:本文由翰林刷题小程序授权发布,如需转载请注明出处。

本文链接:https://doc.20230611.cn/post/53326.html

分享给朋友: