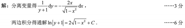
(本小题6分)
- 高等数学(一)(00020) - 专业知识收录平台">
扫描二维码免费使用微信小程序搜题/刷题/查看解析。
版权声明:本文由翰林刷题小程序授权发布,如需转载请注明出处。
本文链接:https://doc.20230611.cn/post/53316.html
上一篇:( )是指用矩阵形式描述有向连接图各节点之间经过一定长度的通路后可以到达的程度。
( )是指用矩阵形式描述有向连接图各节点之间经过一定长度的通路后可以到达的程度。
下一篇:匈牙利经济学家科尔奈从所有制改革的角度把转型划分为两种战略:战略A和战略B。其中实行战略B的国家是