- 数量方法(二)(00994) - 专业知识收录平台">
- 数量方法(二)(00994) - 专业知识收录平台">某行业2020年20家企业资产的分组数据如表所示(单位: 10亿元)。
试计算资产的平均数和方差。
某行业2020年20家企业资产的分组数据如表所示(单位: 10亿元)。
试计算资产的平均数和方差。
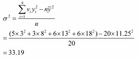
解:组中值分别为: 3, 8, 13,18.
平均数为:

扫描二维码免费使用微信小程序搜题/刷题/查看解析。
版权声明:本文由翰林刷题小程序授权发布,如需转载请注明出处。