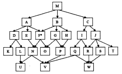
图为某一软件系统的模块结构图,已知模块F*有一个判断,它影响了模块N、V。要求:
(1)给出该系统模块结构图的深度和宽度。
(2)给出图中所有扇入数为3的模块。
(3)给出图中所有扇出数为3的模块。
(4)给出模块F*的作用域包含的模块。
(5)给出模块F*的控制域包含的模块。
高老师2年前 (2024-03-26)软件工程(02333)15
图为某一软件系统的模块结构图,已知模块F*有一个判断,它影响了模块N、V。要求:
(1)给出该系统模块结构图的深度和宽度。
(2)给出图中所有扇入数为3的模块。
(3)给出图中所有扇出数为3的模块。
(4)给出模块F*的作用域包含的模块。
(5)给出模块F*的控制域包含的模块。

扫描二维码免费使用微信小程序搜题/刷题/查看解析。
版权声明:本文由翰林刷题小程序授权发布,如需转载请注明出处。