请回答下列问题。
(1)根据哈夫曼树的基本原理,画出成绩评定判定树T。
(2)求树T的WPL。
将百分制成绩分成五个等级,已知成绩的对应关系及分布情况如下表所示。
请回答下列问题。
(1)根据哈夫曼树的基本原理,画出成绩评定判定树T。
(2)求树T的WPL。
将百分制成绩分成五个等级,已知成绩的对应关系及分布情况如下表所示。
请回答下列问题。
(1)根据哈夫曼树的基本原理,画出成绩评定判定树T。
(2)求树T的WPL。
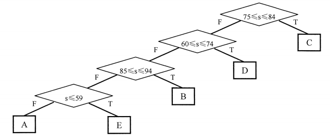
(1)成绩评定判定树如下。
(2)WPL=0.45×1+0.25×2+0.20×3+0.05×4x2=1.95
或WPL=45×1+25×2+20×3+5×4×2=195
扫描二维码免费使用微信小程序搜题/刷题/查看解析。
版权声明:本文由翰林刷题小程序授权发布,如需转载请注明出处。