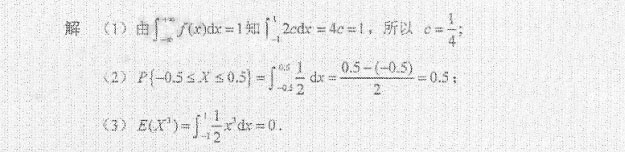
设随机变量石的概率密度为
设随机变量石的概率密度为 高老师2年前 (2024-03-26)概率论与数理统计(二)(02197)9
扫描二维码免费使用微信小程序搜题/刷题/查看解析。
版权声明:本文由翰林刷题小程序授权发布,如需转载请注明出处。
本文链接:https://doc.20230611.cn/post/429447.html
上一篇:下列属于专用软件的是
下一篇:______ is considered to be one of the characteristics of the American people.