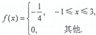
设随机变量X服从区间[-1,3]上的均匀分布,则X的概率密度为
A.
B.
C.
D.
正确答案是A
扫描二维码免费使用微信小程序搜题/刷题/查看解析。
版权声明:本文由翰林刷题小程序授权发布,如需转载请注明出处。
本文链接:https://doc.20230611.cn/post/428687.html
上一篇:金融深化的实质
下一篇:Passage 11 “I heard a rumor,” Sangstrom said, “that you —” He turned his head and looked about him to make absolutely sure that he and the druggist were alone in the tiny drugstore. The druggist was a little man who could have been any age from fi