当前位置:首页 > 概率论与数理统计(二)(02197) > 正文内容

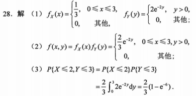
设随机变量X与Y相互独立,X服从区间[0,3]上的均匀分布,Y服从参数为2的指数分布.
求: (1) X,Y的概率密度fx(x),fY(y);
(2) (X,Y) 的概率密度f(x,y);
(3) P{X≤2,Y≤3}.

高老师2年前 (2024-03-26)概率论与数理统计(二)(02197)5

设随机变量X与Y相互独立,X服从区间[0,3]上的均匀分布,Y服从参数为2的指数分布.
求: (1) X,Y的概率密度fx(x),fY(y);
(2) (X,Y) 的概率密度f(x,y);
(3) P{X≤2,Y≤3}.

扫描二维码免费使用微信小程序搜题/刷题/查看解析。

版权声明:本文由翰林刷题小程序授权发布,如需转载请注明出处。

本文链接:https://doc.20230611.cn/post/428678.html

分享给朋友: