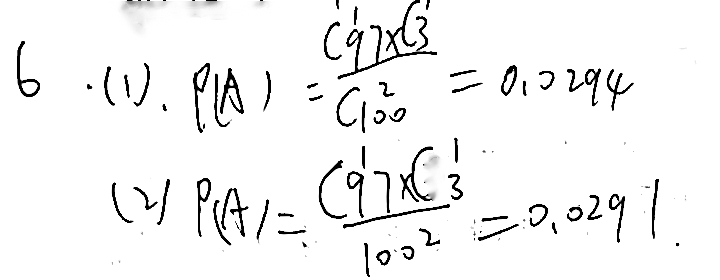
一批产品共有100件,其中3件次品.现从这批产品中接连抽取两次,每次抽取一件,考虑两种情况:(1)不放回抽样,第一次取一件不放回,第二次再抽取一件;(2)放回抽样,第一次取一件检查后放回,第二次再抽取一件.试分别针对上述两种情况,求事件A“第一次抽到正品,第二次抽到次品”的概率.
(1)P(A)=97/100×3/99;(2)P(A)=97/100×3/100.
扫描二维码免费使用微信小程序搜题/刷题/查看解析。
版权声明:本文由翰林刷题小程序授权发布,如需转载请注明出处。