当前位置:首页 > 概率论与数理统计(二)(02197) > 正文内容

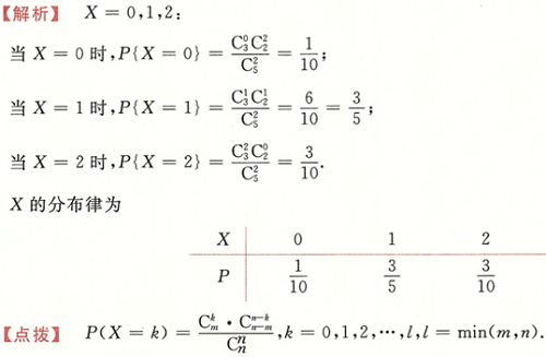
袋中有2个白球3个红球,现从袋中随机地抽取2个球,以X表示取到红球的数,求X的分布律.

高老师2年前 (2024-03-26)概率论与数理统计(二)(02197)16

袋中有2个白球3个红球,现从袋中随机地抽取2个球,以X表示取到红球的数,求X的分布律.

扫描二维码免费使用微信小程序搜题/刷题/查看解析。

版权声明:本文由翰林刷题小程序授权发布,如需转载请注明出处。

本文链接:https://doc.20230611.cn/post/428628.html

分享给朋友: