当前位置:首页 > 概率论与数理统计(二)(02197) > 正文内容

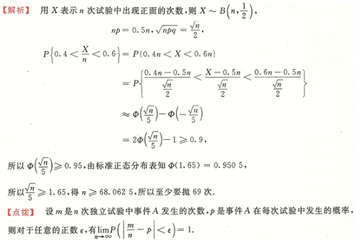
在抛硬币的试验中,至少抛多少次,才能使正面出现的频率落在(0.4,0.6)区间的概率不小于0.9 ?

高老师2年前 (2024-03-26)概率论与数理统计(二)(02197)9

在抛硬币的试验中,至少抛多少次,才能使正面出现的频率落在(0.4,0.6)区间的概率不小于0.9 ?

扫描二维码免费使用微信小程序搜题/刷题/查看解析。

版权声明:本文由翰林刷题小程序授权发布,如需转载请注明出处。

本文链接:https://doc.20230611.cn/post/428577.html

分享给朋友: