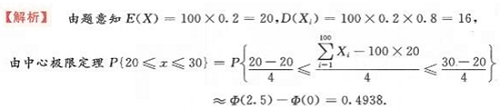
设随机变量X~B(100,0.2)Φ(X)为标准正态分布函数,Φ(2.5)=0.9938,应用中心极限定理,可得P{20≤X≤30}≈ ( )
扫描二维码免费使用微信小程序搜题/刷题/查看解析。
版权声明:本文由翰林刷题小程序授权发布,如需转载请注明出处。
本文链接:https://doc.20230611.cn/post/428574.html
上一篇:归谬法与反证法的主要区别为()
下一篇:根据下列经济业务用借贷记账法编制会计分录。(1)接到银行通知,收到上月产品销售款85000元。(2)用现金500元支付职工生活困难补助。(3)用银行存款1200元支付下一季度的报刊杂志费用。(4)收到股东投资50000元,存入银行。(5)财产清查盘盈设备一台,重估价值36800元,估计八成新,原因待查。(6)生产车间领用共同耗用的A材料3500元。(7)经计算,本月应付行政管理人员工资12000元。(8)用转账支票支